千维计算器中文版是一款功能全面且实用的科学计算工具,它不仅提供基础的四则运算与高级的科学计算模式,还集成了单位换算、常用公式查询以及多种生活专用计算器如房贷、税费、工资和个税计算等实用功能,能够轻松应对日常消费、商务办公、理财规划、学业任务及工程计算等多种复杂场景,极大提升了用户的计算效率与使用便捷性。
软件特色
1、按键时支持语音自动播报反馈,也可设置为传统按钮音效或完全静音模式。
2、计算功能包含四则运算与分步计算两种方式,可在界面直接切换,实时显示运算结果。
3、自动保存计算过程,也可通过手动点击“=”键保存当前计算记录。
4、提供高精度计算能力,最高支持28位有效数字,其中小数部分可达15位。
5、支持常用三角函数、幂函数、开方函数及其他数理函数同步运算。
6、涵盖国际主流工程计量单位之间的快捷换算。
7、支持36种进制以内的自由转换。
8、内置厘米尺子等日常实用工具,方便生活与学习使用。
1、首先我们点击下方蓝色按钮中的第一个【自由公式】按钮。

2、接着再点击右上角的【+】,创建自定义公式。

3、第一行填写【公式名称】,第二行填写【公式内容】,填完后点击右上角【√】保存。

4、保存完成后,就可以在【公式列表】最下方看到创建好的公式。

5、点进公式,【输入】对应的数值,即可自动完成计算。

算最小二乘法方法
1、先把n个数据测量值画在坐标纸上,如果呈现一种直线趋势,才可以进行最小二乘法(直线回归法)。

2、然后就是计算这些n个数据点的横坐标平均值和纵坐标的平均值:

3、接着计算所有点的横坐标求和结果,以及所有点的纵坐标求和结果:

4、然后是计算每个数据点横坐标的平方,然后求和,以及计算每个点横坐标乘以纵坐标的乘积,然后求和:

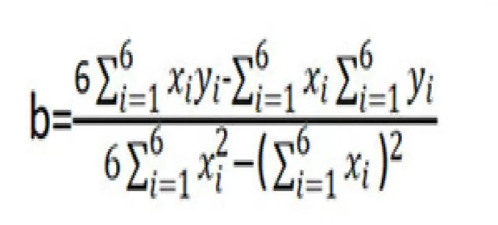
5、最后就是利用两个公式,把将要求的直线方程中的截距a和斜率b这两个参数代入上面的公式计算出来:

6、求出了a和b这两个参数之后,就可以得到直线方程:y=ax+b。这个时候还要利用这个方程,先取两个点,这两个点要求横坐标x1和x2距离比较远,这样误差会比较小(太近的两个点,误差比较大),然后分别代入刚求出来的直线方程y=ax+b,求出对应的y1和y2,然后把(x1,y1)和(x2,y2)描点在坐标纸上,这样就可以利用两点画出一条最终的回归直线了。

7、用户可以按照上述的创建自定义公式方法在千维计算器中创建最小二乘法的公式,然后进行方便计算。

软件亮点
1、界面设计简洁直观。
2、可自定义的快捷输入键盘布局。
3、输入内容实时换算并显示结果。
4、具备个性化记忆功能的计算器。
5、一键启动科学函数计算模式。
6、兼容国际常用工程计量单位。
7、支持小数与多种进制之间的转换。
8、提供简洁灵活的自定义参数设置。
9、支持按使用习惯对功能进行排序。
软件优势
1、功能设置专业全面,多种计算模式切换便捷高效。
2、免费提供丰富实用工具,确保计算过程精准可靠。
3、输入指定数值后,可进行清晰的分步运算与过程展示。
4、支持常用四则运算,操作直观,轻松快速完成基础计算。
软件功能
重量换算
- 上方显示国际标准单位公斤,右下方标注数学单位符号公斤。
- 点击右侧输入框可唤出键盘,输入任意有效数字。
- 下方列表中的所有单位将实时显示换算结果。
- 在任意单位右侧输入数值,即可同步查看其他单位的换算值。
计算器
- 提供基础计算功能,键盘布局简洁直观,无冗余设计。
- “AC”键用于全部清除,“C”键清除上一步,“小锁”图标支持临时计算。
准确性
- 最高支持15位小数无误差显示,整数部分位数无上限。
- 内部采用更高精度计算机制,确保结果准确,并完整记录每次运算过程。
分步计算
- 实时计算每一步输入及中间结果。遵循四则运算规则(先乘除后加减)。
四则运算
- 支持与手机系统计算器相同的四则运算(乘、除、加、减),并提供更高计算精度。
小锁功能
- 小锁图标用于临时计算,点击后高亮显示。
- 计算完成后,可将结果代入主表达式继续进行加减乘除运算。
厘米尺
- 便携式虚拟尺子,可随时测量物体长度。
汇率查询
- 进入汇率界面后,系统自动加载最新汇率数据。
- 默认显示100单位当前货币对应人民币金额。
- 点击导航栏切换图标可进入汇率换算界面。
- 在任意币种输入框内填写数值,即可实时换算所有币种价值。
- 点击汇率页“小笔”图标可进入货币排序管理界面。
想了解更多精彩内容,请关注221安卓网!